激光發射功率是測試激光安全和性能的一個重要參數。
深圳中為檢驗小編將在本文中為大家介紹激光發射功率的相關知識。
一、激光發射功率定義:
激光發射功率是指激光器在一定時間內發射出去的光能量的大小,通常以瓦特(Watt)為單位。它反映了激光器產生和輸出光能的能力,是衡量激光器性能的一項重要參數。激光發射功率決定了激光束對目標材料的加工效果、傳輸距離、對生物組織的生物效應等,直接影響著激光在各個領域的應用效果和安全性。
二、激光發射功率的計算方式:
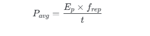
激光發射功率可以通過以下公式計算:


對于連續波(CW)激光器,激光發射功率是恒定的,可以直接測量或由激光器規格書中給出。對于脈沖激光器,由于其輸出是間歇性的,激光發射功率通常以峰值功率(單個脈沖的最大功率)和平均功率(所有脈沖能量在一定時間內的平均功率)兩種形式表示。峰值功率計算同上,而平均功率則需要考慮脈沖重復頻率(脈沖間隔)和單個脈沖的能量:


三、激光發射功率檢測方法:
檢測激光發射功率通常需要專業的激光功率計。根據激光的類型(連續波或脈沖)、波長、功率等級等因素,選擇合適的功率測量方法和設備。常用的激光發射功率檢測方法包括:
熱釋電探測器法:適用于連續波和低重復率脈沖激光,通過熱釋電探測器將接收到的激光能量轉換為電信號,經放大、積分后得到功率值。
光電二極管法:適用于低功率連續波激光和某些特定波長的脈沖激光,利用光電二極管將光信號直接轉換為電信號,通過電流表或示波器讀取功率值。
熱電堆探測器法:適用于高功率連續波和脈沖激光,熱電堆能承受較大功率且響應速度快,通過熱電堆將吸收的激光能量轉化為溫差電動勢,經測量電路轉換為功率讀數。
積分球法:特別適用于測量大面積、不均勻或多方向輸出的激光功率,激光束入射到內壁涂有高反射率材料的積分球內,球內光子多次反射后均勻分布,通過球內放置的探測器測量總光能量,從而計算功率。
四、激光發射功率安全等級介紹:
激光安全等級是根據激光對眼睛和皮膚可能造成的生物效應來劃分的,由國際電工委員會(IEC)制定的IEC 60825系列標準(或等同的國家標準,如ANSI Z136系列標準)進行規定。激光安全等級通常分為1至4共四個等級,以及附加的1M、2M、3R和3B等級,數字越大,表示激光潛在的危害越大。
激光發射功率是決定安全等級的重要因素之一,但并非唯一因素,還應考慮激光波長、光束直徑、脈沖特性等因素。
1類和1M類:低功率激光,對眼睛和皮膚幾乎無傷害風險。例如,某些激光指示器、教學激光筆等。
2類和2M類:中低功率激光,對眼睛有短暫的視覺干擾風險,但不會造成持續傷害。例如,某些CD/DVD播放器的激光頭、部分工業檢測激光等。
3R類:較高功率脈沖激光,對眼睛有短期致盲風險,但不會造成永久性損傷。如某些激光測距儀、低功率激光美容設備等。
3B類和4類:高功率激光,對眼睛和皮膚有嚴重甚至永久性傷害風險。這類激光主要用于科研、工業加工、軍事等領域,使用時必須嚴格遵守安全操作規程,使用適當的個人防護設備。
根據以上內容可以看出,在選擇和使用激光設備時,我們必須了解其發射功率及對應的激光安全等級,遵循相關安全操作規程,確保人員和環境的安全。
五、深圳中為檢驗,專業激光檢測認證機構
深圳中為檢驗擁有專業的檢測團隊和先進的檢測設備,能夠按照國內外相關標準和法規,對激光產品進行全面、準確的檢測。
作為一家專業的激光檢測認證機構,我們致力于為全球客戶提供精準、高效、全面的激光產品檢測和認證服務。
我們的團隊由一群經驗豐富的工程師和專業技術人員組成,他們對激光技術的深刻理解和豐富的實踐經驗,確保了我們能夠滿足客戶在不同領域和應用中對激光設備性能的高標準要求。
· 專業技術團隊:我們的工程師和技術人員擁有深厚的激光行業背景,能夠針對各種激光設備進行專業的性能評估和安全檢測。
· 先進檢測設備:我們配備了國際先進的檢測設備和儀器,確保檢測結果的準確性和權威性。
· 全面認證服務:我們提供包括但不限于CE、FDA、FCC、RoHS等國際認證服務,幫助客戶的產品順利進入全球市場。
· 定制化解決方案:針對客戶的特定需求,我們能夠提供定制化的檢測方案和改進建議,幫助客戶優化產品設計和提升產品性能。
· 快速響應機制:我們理解時間對于企業的重要性,因此我們致力于提供快速、高效的檢測服務,確保客戶能夠及時獲得檢測結果和認證證書。
· 激光安全評估:對激光產品的安全性進行全面評估,確保其符合國際安全標準。
· 性能測試:對激光設備的輸出功率、波長穩定性、光束質量等關鍵性能指標進行測試。
· 環境適應性檢測:模擬各種環境條件,評估激光設備在不同環境下的性能表現。
· 壽命測試:通過加速老化測試等方法,預測激光產品的使用壽命和可靠性。
· 軟件和控制系統評估:對激光設備的軟件和控制系統進行評估,確保其穩定性和易用性。
我們承諾,通過我們的專業服務,幫助客戶確保其激光產品的性能卓越、安全可靠,同時滿足國際市場的法規要求。我們的目標是成為您值得信賴的合作伙伴,共同推動激光技術的發展和應用。
擴展閱讀:國際激光安全IEC 60825_激光設備檢測_深圳中為檢驗 (ctnt-cert.com)
返回頂部